Упражнение 3.14 ГДЗ Мордкович Семенов 9 класс (Алгебра)
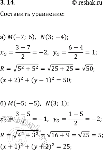
3.14. Составьте уравнение окружности, диаметром которой является отрезок MN и если: а) М(-7; 6) и М(3; -4); б) М(-5; -5) и N(3;

Ниже вариант решения задания из учебника Мордкович, Семенов, Александрова 9 класс, Бином:
3.14. Составьте уравнение окружности, диаметром которой является отрезок MN и если:
а) М(-7; 6) и М(3; -4); б) М(-5; -5) и N(3; 1).
