Упражнение 3.16 ГДЗ Мордкович Семенов 9 класс (Алгебра)
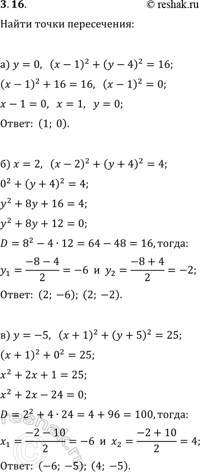
3.16. Найдите координаты точек пересечения прямой и окружности: а) y=0 и (x-1)^2+(y-4)^2=16; б) x=2 и (x-2)^2+(y+4)^2=4; в) y=-5 и (x+1)^2+(y+5)^2=25; г) x=0 и (x+3)^2+(y-1)^2=9;


Ниже вариант решения задания из учебника Мордкович, Семенов, Александрова 9 класс, Бином:
3.16. Найдите координаты точек пересечения прямой и окружности:
а) y=0 и (x-1)^2+(y-4)^2=16;
б) x=2 и (x-2)^2+(y+4)^2=4;
в) y=-5 и (x+1)^2+(y+5)^2=25;
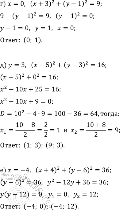
г) x=0 и (x+3)^2+(y-1)^2=9;
д) y=3 и (x-5)^2+(y-3)^2=16;
е) x=-4 и (x+4)^2+(y-6)^2=36.
