Упражнение 3.21 ГДЗ Мордкович Семенов 9 класс (Алгебра)
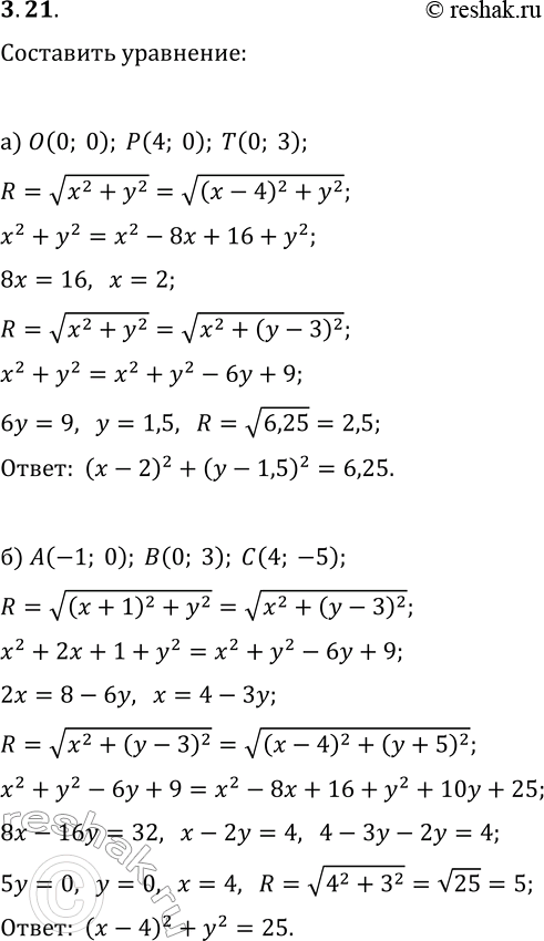
3.21. а) Составьте уравнение окружности, проходящей через точки O(0; 0), Р(4; 0) и T(0; 3). б) Составьте уравнение окружности, проходящей через точки А(-1;

Ниже вариант решения задания из учебника Мордкович, Семенов, Александрова 9 класс, Бином:
3.21. а) Составьте уравнение окружности, проходящей через точки O(0; 0), Р(4; 0) и T(0; 3).
б) Составьте уравнение окружности, проходящей через точки А(-1; 0), В(0; 3) и С(4; -5).
