Упражнение 30.1 ГДЗ Мордкович Семенов 9 класс (Алгебра)
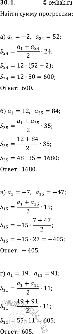
30.1. Дана арифметическая прогрессия (a_n). Найдите сумму S_n членов арифметической прогрессии, если известны её первый и последний члены: а) a_1=-2, a_24=52;

Ниже вариант решения задания из учебника Мордкович, Семенов, Александрова 9 класс, Бином:
30.1. Дана арифметическая прогрессия (a_n). Найдите сумму S_n членов арифметической прогрессии, если известны её первый и последний члены:
а) a_1=-2, a_24=52; в) a_1=-7, a_15=-47;
б) a_1=12, a_35=84; г) a_1=19, a_11=91.
