Упражнение 30.2 ГДЗ Мордкович Семенов 9 класс (Алгебра)
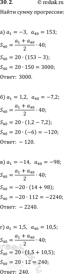
30.2. Найдите сумму первых сорока членов арифметической прогрессии (a_n), если: а) a_1=-3, a_40=153; в) a_1=-14, a_40=-98; б) a_1=1,2, a_40=-7,2; г) a_1=1,5, a_40=10,5.

Ниже вариант решения задания из учебника Мордкович, Семенов, Александрова 9 класс, Бином:
30.2. Найдите сумму первых сорока членов арифметической прогрессии (a_n), если:
а) a_1=-3, a_40=153; в) a_1=-14, a_40=-98;
б) a_1=1,2, a_40=-7,2; г) a_1=1,5, a_40=10,5.
