Упражнение 31.20 ГДЗ Мордкович Семенов 9 класс (Алгебра)
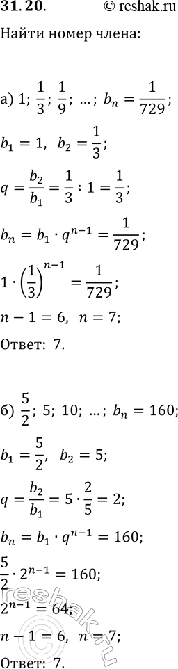
31.20. Известно, что число b_n, является членом данной геометрической прогрессии. Найдите его номер n: а) (b_n) 1, 1/3, 1/9, ... и b_n=1/729;


Ниже вариант решения задания из учебника Мордкович, Семенов, Александрова 9 класс, Бином:
31.20. Известно, что число b_n, является членом данной геометрической прогрессии. Найдите его номер n:
а) (b_n) 1, 1/3, 1/9, ... и b_n=1/729;
б) (b_n) 5/2, 5, 10, ... и b_n=160;
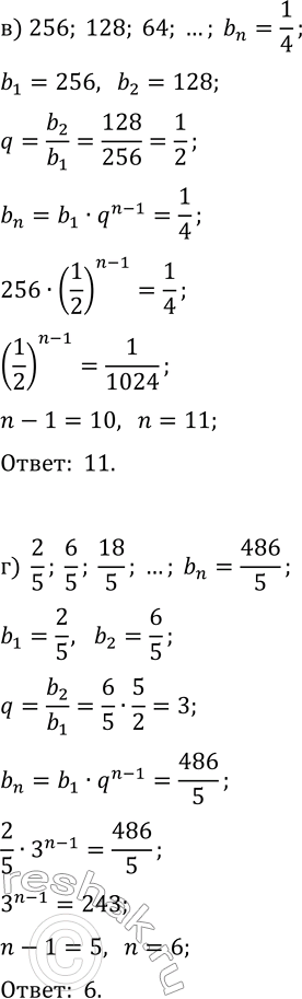
в) (b_n) 256, 128, 64, ... и b_n=1/4;
г) (b_n) 2/5, 6/5, 18/5, ... и b_n=486/5.
