Упражнение 31.21 ГДЗ Мордкович Семенов 9 класс (Алгебра)
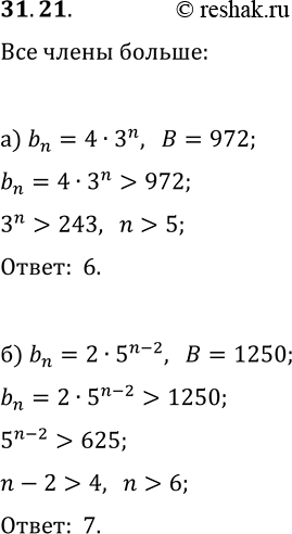
31.21. Найдите номер члена геометрической прогрессии (b_n), начиная с которого все члены прогрессии будут больше числа B, если: а) b_n=4·3^n, B=972;

Ниже вариант решения задания из учебника Мордкович, Семенов, Александрова 9 класс, Бином:
31.21. Найдите номер члена геометрической прогрессии (b_n), начиная с которого все члены прогрессии будут больше числа B, если:
а) b_n=4·3^n, B=972; б) b_n=2·5^(n-2), B=1250.
