Упражнение 31.19 ГДЗ Мордкович Семенов 9 класс (Алгебра)
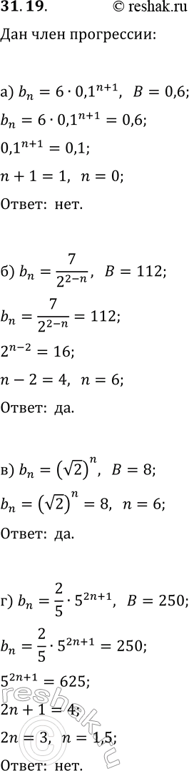
31.19. Выясните, является ли число B членом геометрической прогрессии (b_n), если: а) b_n=6·0,1^(n+1), B=0,6; в) b_n=(v2)^n, B=8; б) b_n=7/2^(2-n), B=112; г) b_n=2/5·5^(2n+1), B=250.

Ниже вариант решения задания из учебника Мордкович, Семенов, Александрова 9 класс, Бином:
31.19. Выясните, является ли число B членом геометрической прогрессии (b_n), если:
а) b_n=6·0,1^(n+1), B=0,6; в) b_n=(v2)^n, B=8;
б) b_n=7/2^(2-n), B=112; г) b_n=2/5·5^(2n+1), B=250.
