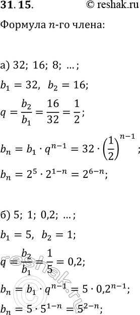
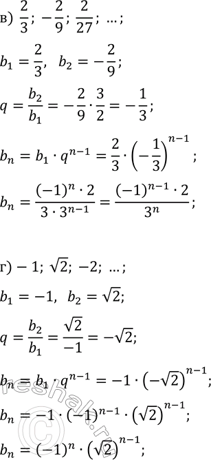
Упражнение 31.15 ГДЗ Мордкович Семенов 9 класс (Алгебра)
31.15. Составьте формулу n-го члена геометрической прогрессии: а) 32, 16, 8, ...; в) 2/3, -2/9, 2/27, ...; б) 5, 1, 0,2, ...;


Ниже вариант решения задания из учебника Мордкович, Семенов, Александрова 9 класс, Бином:
31.15. Составьте формулу n-го члена геометрической прогрессии:
а) 32, 16, 8, ...; в) 2/3, -2/9, 2/27, ...;
б) 5, 1, 0,2, ...; г) -1, v2, -2, ... .
