Упражнение 31.22 ГДЗ Мордкович Семенов 9 класс (Алгебра)
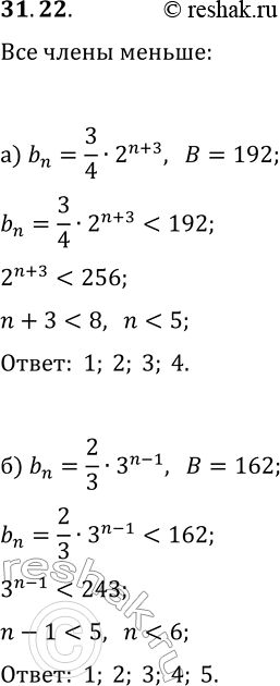
31.22. Найдите номера членов геометрической прогрессии (b_n), для которых выполняется неравенство b_n а) b_n=3/4·2^(n+3), B=192; б) b_n=2/3·3^(n-1), B=162. *Цитирирование задания со ссылкой на учебник производится исключительно в учебных целях для лучшего понимания разбора решения задания.

Ниже вариант решения задания из учебника Мордкович, Семенов, Александрова 9 класс, Бином:
31.22. Найдите номера членов геометрической прогрессии (b_n), для которых выполняется неравенство b_n
а) b_n=3/4·2^(n+3), B=192; б) b_n=2/3·3^(n-1), B=162.
