Упражнение 33.8 ГДЗ Мордкович Семенов 9 класс (Алгебра)
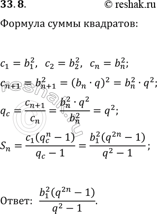
33.8. Выведите формулу суммы квадратов первых n членов геометрической прогрессии (b_n). *Цитирирование задания со ссылкой на учебник производится исключительно в учебных целях для лучшего понимания разбора решения задания.

Ниже вариант решения задания из учебника Мордкович, Семенов, Александрова 9 класс, Бином:
33.8. Выведите формулу суммы квадратов первых n членов геометрической прогрессии (b_n).
