Упражнение 33.6 ГДЗ Мордкович Семенов 9 класс (Алгебра)
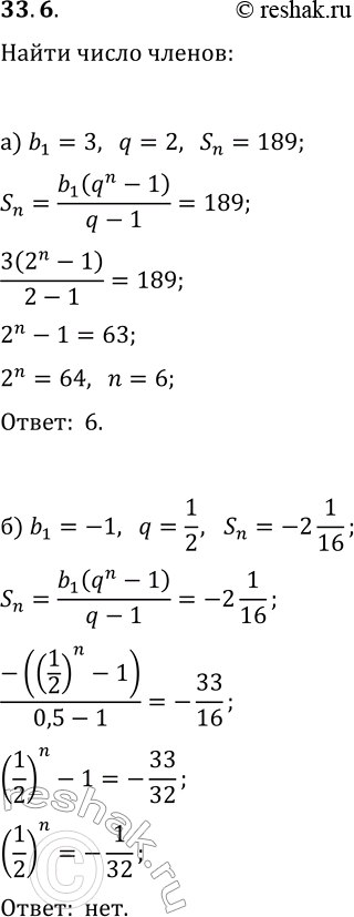
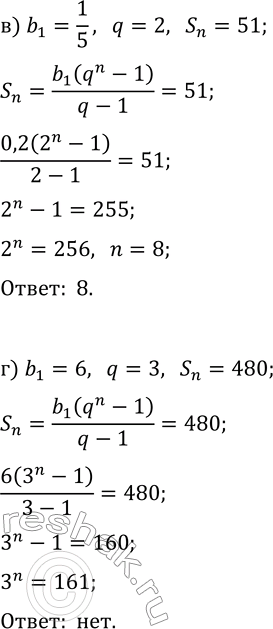
33.6. Найдите число членов геометрической прогрессии (b_n), если: а) b_1=3, q=2, S_n=189; в) b_1=1/5, q=2, S_n=51; б) b_1=-1, q=1/2, S_n=-2 1/16;


Ниже вариант решения задания из учебника Мордкович, Семенов, Александрова 9 класс, Бином:
33.6. Найдите число членов геометрической прогрессии (b_n), если:
а) b_1=3, q=2, S_n=189; в) b_1=1/5, q=2, S_n=51;
б) b_1=-1, q=1/2, S_n=-2 1/16; г) b_1=6, q=3, S_n=480.
