Упражнение 33.7 ГДЗ Мордкович Семенов 9 класс (Алгебра)
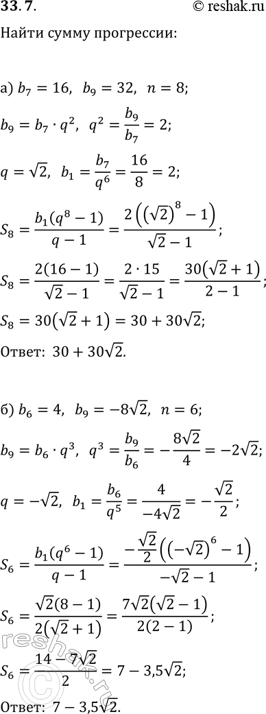
33.7. Найдите сумму первых n членов геометрической прогрессии (b_n), если: а) b_7=16, b_9=32 (q > 0), n=8; б) b_6=4, b_9=-8v2, n=6;


Ниже вариант решения задания из учебника Мордкович, Семенов, Александрова 9 класс, Бином:
33.7. Найдите сумму первых n членов геометрической прогрессии (b_n), если:
а) b_7=16, b_9=32 (q > 0), n=8;
б) b_6=4, b_9=-8v2, n=6;
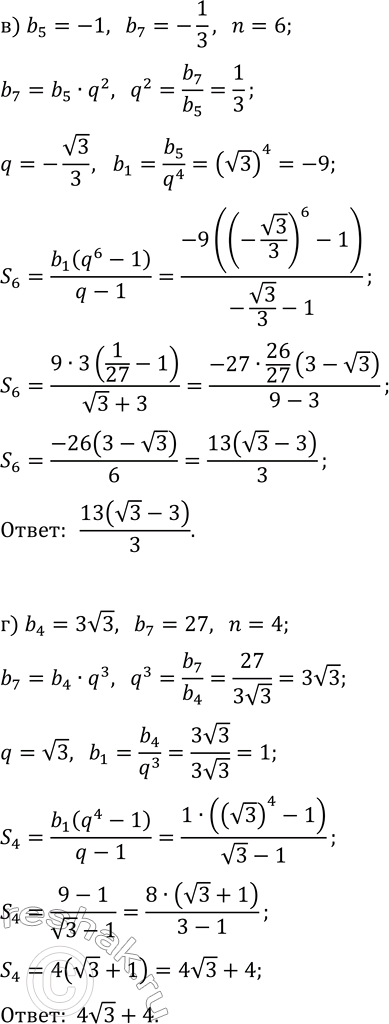
в) b_5=-1, b_7=-1/3 (q
г) b_4=3v3, b_7=27, n=4.
