Упражнение 33.3 ГДЗ Мордкович Семенов 9 класс (Алгебра)
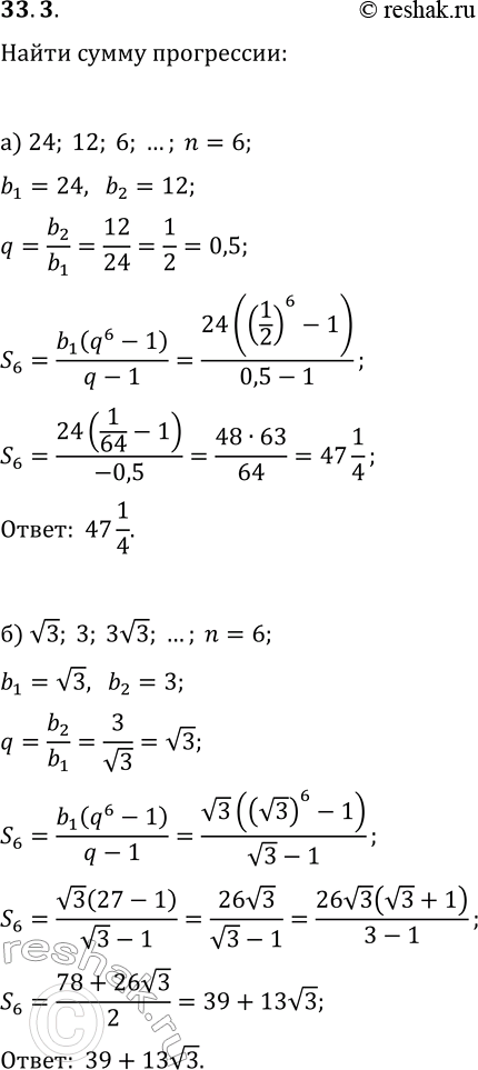
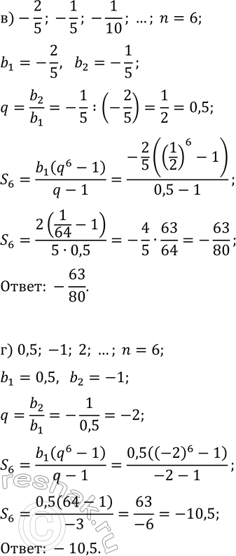
33.3. Найдите сумму первых шести членов геометрической прогрессии (b_n), если: а) 24, 12, 6, ...; в) -2/5, -1/5, -1/10, ...; б) v3, 3, 3v3, ...;


Ниже вариант решения задания из учебника Мордкович, Семенов, Александрова 9 класс, Бином:
33.3. Найдите сумму первых шести членов геометрической прогрессии (b_n), если:
а) 24, 12, 6, ...; в) -2/5, -1/5, -1/10, ...;
б) v3, 3, 3v3, ...; г) 0,5, -1, -2, ... .
