Упражнение 33.4 ГДЗ Мордкович Семенов 9 класс (Алгебра)
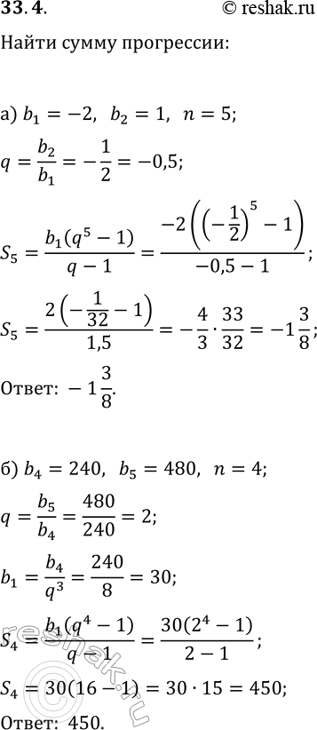
33.4. Найдите сумму первых n членов геометрической прогрессии (b_n), если: а) b_1=-2, b_2=1, n=5; в) b_1=-4, b_2=2, n=6; б) b_4=240, b_5=480, n=4;


Ниже вариант решения задания из учебника Мордкович, Семенов, Александрова 9 класс, Бином:
33.4. Найдите сумму первых n членов геометрической прогрессии (b_n), если:
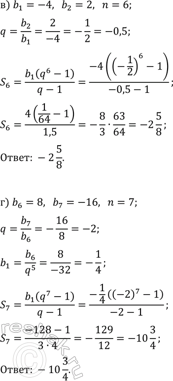
а) b_1=-2, b_2=1, n=5; в) b_1=-4, b_2=2, n=6;
б) b_4=240, b_5=480, n=4; г) b_6=8, b_7=-16, n=7.
