Упражнение 36.9 ГДЗ Мордкович Семенов 9 класс (Алгебра)
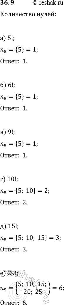
36.9. На сколько нулей оканчивается число: а) 5!; в) 9!; д) 15!; б) 6!; г) 10!; е) 29!? *Цитирирование задания со ссылкой на учебник производится исключительно в учебных целях для лучшего понимания разбора решения задания.

Ниже вариант решения задания из учебника Мордкович, Семенов, Александрова 9 класс, Бином:
36.9. На сколько нулей оканчивается число:
а) 5!; в) 9!; д) 15!;
б) 6!; г) 10!; е) 29!?
