Упражнение 36.7 ГДЗ Мордкович Семенов 9 класс (Алгебра)
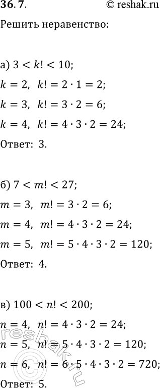
36.7. Решите неравенство: а) 3 б) 7 в) 100 *Цитирирование задания со ссылкой на учебник производится исключительно в учебных целях для лучшего понимания разбора решения задания.
Ниже вариант решения задания из учебника Мордкович, Семенов, Александрова 9 класс, Бином:
36.7. Решите неравенство:
а) 3
б) 7
в) 100


