Упражнение 37.12 ГДЗ Мордкович Семенов 9 класс (Алгебра)
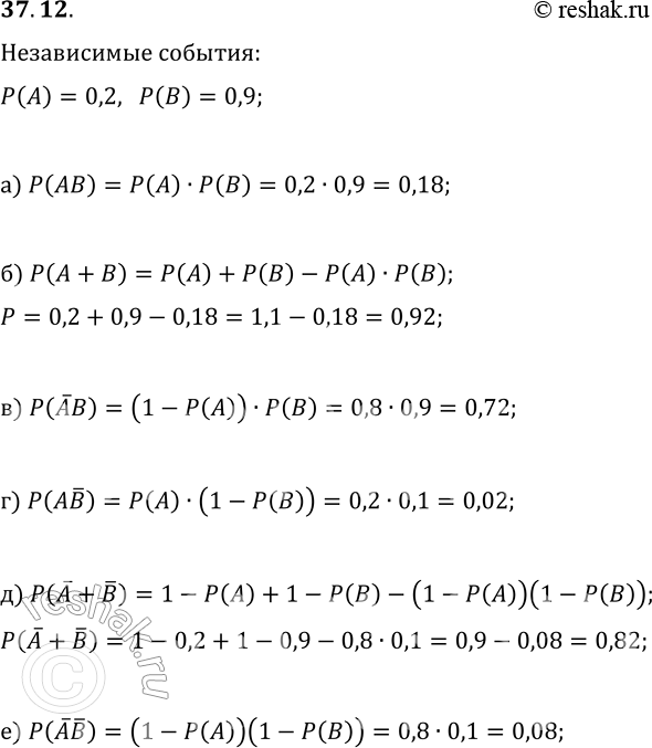
37.12. Для независимых событий A и B по их вероятностям P(A)=0,2, P(B)=0,9 найдите вероятность события: а) AB; в) !AB; д) !A+!B;

Ниже вариант решения задания из учебника Мордкович, Семенов, Александрова 9 класс, Бином:
37.12. Для независимых событий A и B по их вероятностям P(A)=0,2, P(B)=0,9 найдите вероятность события:
а) AB; в) !AB; д) !A+!B;
б) A+B; г) A!B; е) !A!B.
