Упражнение 37.11 ГДЗ Мордкович Семенов 9 класс (Алгебра)
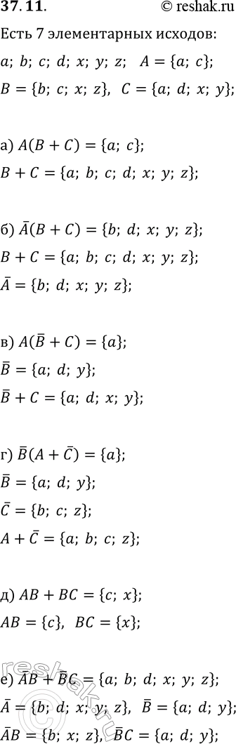
37.11. У испытания 7 элементарных событий (исходов испытания): a, b, c, d, x, y, z. Рассматривают 3 случайных события при проведении этого испытания:

Ниже вариант решения задания из учебника Мордкович, Семенов, Александрова 9 класс, Бином:
37.11. У испытания 7 элементарных событий (исходов испытания): a, b, c, d, x, y, z. Рассматривают 3 случайных события при проведении этого испытания:
A={a, c}, B={b, c, x, z}, C={a, d, x, y}.
Составьте случайное событие:
а) A(B+C); в) A(!B+C); д) AB+BC;
б) !A(B+C); г) !B(A+!C); е) !AB+!BC.
