Упражнение 4.3 ГДЗ Мордкович Семенов 9 класс (Алгебра)
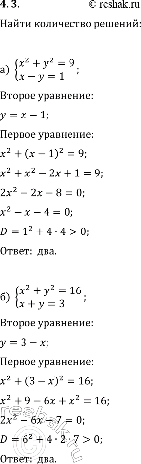
4.3. Сколько решений имеет система уравнений: а) {x^2+y^2=9, x-y=1}; б) {x^2+y^2=16, x+y=3}. в) {x^2-y=2, y=v(x+1)-1}; д) {(x-2)^2-y=0, y=|x-2|}; г) {(x-1)^2+(y-1)^2=25, |x-1|-y=4};





Ниже вариант решения задания из учебника Мордкович, Семенов, Александрова 9 класс, Бином:
4.3. Сколько решений имеет система уравнений:
а) {x^2+y^2=9, x-y=1}; б) {x^2+y^2=16, x+y=3}.
в) {x^2-y=2, y=v(x+1)-1}; д) {(x-2)^2-y=0, y=|x-2|};
г) {(x-1)^2+(y-1)^2=25, |x-1|-y=4}; е) {(x+2)^2+(y-1)^2=4, y=-v(x+2)-1}?
