Упражнение 4.1 ГДЗ Мордкович Семенов 9 класс (Алгебра)
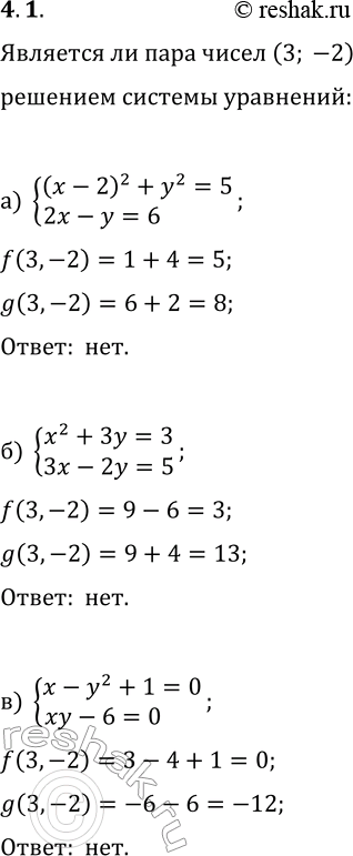
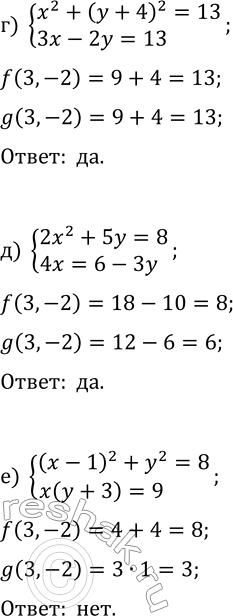
4.1. Является ли пара чисел (3; —2) решением системы уравнений: а) {(x-2)^2+y^2=5, 2x-y=6}; г) {x^2+(y+4)^2=13, 3x-2y=13}; б) {x^2+3y=3, 3x-2y=5}; д) {2x^2+5y=8, 4x=6-3y};


Ниже вариант решения задания из учебника Мордкович, Семенов, Александрова 9 класс, Бином:
4.1. Является ли пара чисел (3; —2) решением системы уравнений:
а) {(x-2)^2+y^2=5, 2x-y=6}; г) {x^2+(y+4)^2=13, 3x-2y=13};
б) {x^2+3y=3, 3x-2y=5}; д) {2x^2+5y=8, 4x=6-3y};
в) {x-y^2+1=0, xy-6=0}; е) {(x-1)^2+y^2=8, x(y+3)=9}?
