Упражнение 3.23 ГДЗ Мордкович Семенов 9 класс (Алгебра)
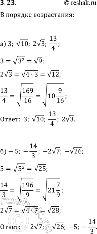
3.23. Расположите числа в порядке возрастания: а) 3, v10, 2v3, 13/4; в) 2, v13/2, v3, 18/11; б) -5, -14/3, -2v7, -v26;


Ниже вариант решения задания из учебника Мордкович, Семенов, Александрова 9 класс, Бином:
3.23. Расположите числа в порядке возрастания:
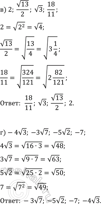
а) 3, v10, 2v3, 13/4; в) 2, v13/2, v3, 18/11;
б) -5, -14/3, -2v7, -v26; г) -4v3, -3v7, -5v2, -7.
