Упражнение 4.2 ГДЗ Мордкович Семенов 9 класс (Алгебра)
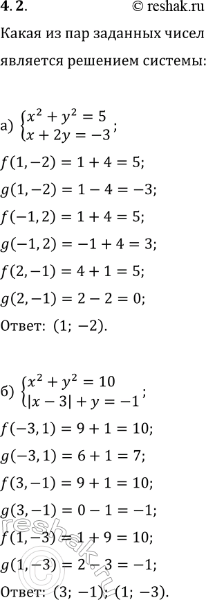
4.2. а) Какая из данных пар чисел (1; —2), (—1; 2), (2; —1) является решением системы уравнений {x^2+y^2=5, x+2y=-3}? б) Какая из данных пар чисел (—3;

Ниже вариант решения задания из учебника Мордкович, Семенов, Александрова 9 класс, Бином:
4.2. а) Какая из данных пар чисел (1; —2), (—1; 2), (2; —1) является решением системы уравнений {x^2+y^2=5, x+2y=-3}?
б) Какая из данных пар чисел (—3; 1), (3; —1), (1; —3) является решением системы уравнений {x^2+y^2=10, |x-3|+y=-1}?
