Упражнение 3.24 ГДЗ Мордкович Семенов 9 класс (Алгебра)
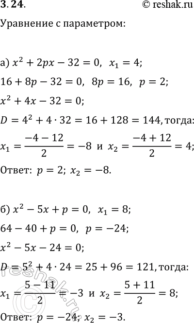
3.24. а) Дано уравнение x^2+2px-32=0. При каком значении параметра p один из корней уравнения равен 4? Найдите второй корень уравнения. б) Дано уравнение x^2-5x+p=0.

Ниже вариант решения задания из учебника Мордкович, Семенов, Александрова 9 класс, Бином:
3.24. а) Дано уравнение x^2+2px-32=0. При каком значении параметра p один из корней уравнения равен 4? Найдите второй корень уравнения.
б) Дано уравнение x^2-5x+p=0. При каком значении параметра p один из корней уравнения равен 8? Найдите второй корень уравнения.
