Упражнение 11.1 ГДЗ Мерзляк 10 класс Углубленный уровень (Алгебра)
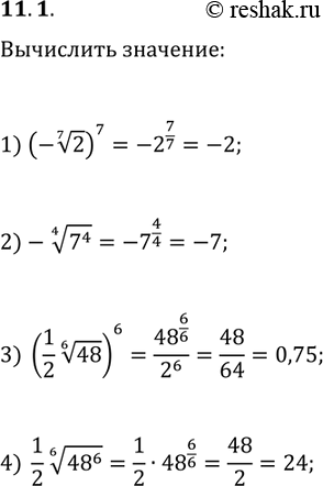
11.1. Вычислите: 1) (-2^(1/7))^7; 2) -(7^4)^(1/4); 3) ((1/2)48^(1/6))^6; 4) (1/2)(48^6)^(1/6). *Цитирирование задания со ссылкой на учебник производится исключительно в учебных целях для лучшего понимания разбора решения задания.

Ниже вариант решения задания из учебника Мерзляк, Номировский, Поляков 10 класс, Просвещение:
11.1. Вычислите:
1) (-2^(1/7))^7; 2) -(7^4)^(1/4);
3) ((1/2)48^(1/6))^6; 4) (1/2)(48^6)^(1/6).
