Упражнение 11.14 ГДЗ Мерзляк 10 класс Углубленный уровень (Алгебра)
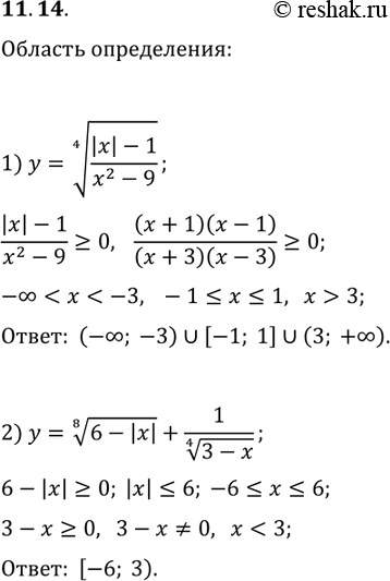
11.14. Найдите область определения выражения: 1) ((|x|-1)/(x^2-9))^(1/4); 2) (6-|x|)^(1/8)+1/(3-x)^(1/4). *Цитирирование задания со ссылкой на учебник производится исключительно в учебных целях для лучшего понимания разбора решения задания.

Ниже вариант решения задания из учебника Мерзляк, Номировский, Поляков 10 класс, Просвещение:
11.14. Найдите область определения выражения:
1) ((|x|-1)/(x^2-9))^(1/4); 2) (6-|x|)^(1/8)+1/(3-x)^(1/4).
