Упражнение 11.16 ГДЗ Мерзляк 10 класс Углубленный уровень (Алгебра)
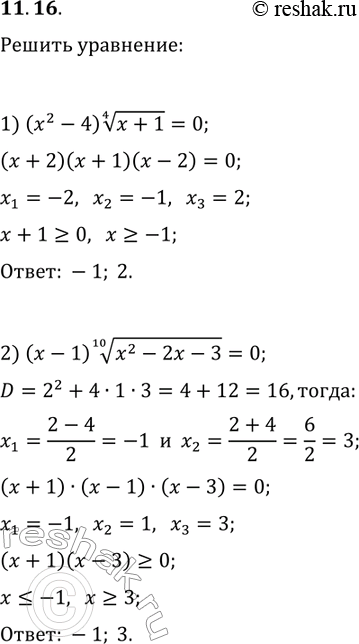
11.16. Решите уравнение: 1) (x^2-4)(x+1)^(1/4)=0; 2) (x-1)(x^2-2x-3)^(1/10)=0. *Цитирирование задания со ссылкой на учебник производится исключительно в учебных целях для лучшего понимания разбора решения задания.

Ниже вариант решения задания из учебника Мерзляк, Номировский, Поляков 10 класс, Просвещение:
11.16. Решите уравнение:
1) (x^2-4)(x+1)^(1/4)=0;
2) (x-1)(x^2-2x-3)^(1/10)=0.
