Упражнение 11.12 ГДЗ Мерзляк 10 класс Углубленный уровень (Алгебра)
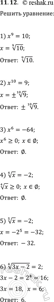
11.12. Решите уравнение: 1) x^9=10; 3) x^6=-64; 5) x^(1/5)=-2; 2) x^10=9; 4) x^(1/4)=-2; 6) (3x-2)^(1/4)=2. *Цитирирование задания со ссылкой на учебник производится исключительно в учебных целях для лучшего понимания разбора решения задания.

Ниже вариант решения задания из учебника Мерзляк, Номировский, Поляков 10 класс, Просвещение:
11.12. Решите уравнение:
1) x^9=10; 3) x^6=-64; 5) x^(1/5)=-2;
2) x^10=9; 4) x^(1/4)=-2; 6) (3x-2)^(1/4)=2.
