Упражнение 11.17 ГДЗ Мерзляк 10 класс Углубленный уровень (Алгебра)
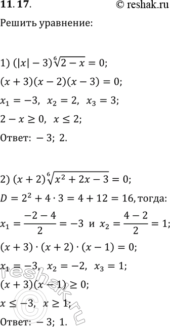
11.17. Решите уравнение: 1) (|x|-3)(2-x)^(1/6)=0; 2) (x+2)(x^2+2x-3)=0. *Цитирирование задания со ссылкой на учебник производится исключительно в учебных целях для лучшего понимания разбора решения задания.

Ниже вариант решения задания из учебника Мерзляк, Номировский, Поляков 10 класс, Просвещение:
11.17. Решите уравнение:
1) (|x|-3)(2-x)^(1/6)=0;
2) (x+2)(x^2+2x-3)=0.
