Упражнение 11.15 ГДЗ Мерзляк 10 класс Углубленный уровень (Алгебра)
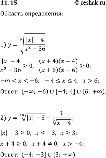
11.15. Найдите область определения выражения: 1) ((|x|-4)/(x^2-36))^(1/6); 2) (|x|-3)^(1/10)-1/(x+4)^(1/4). *Цитирирование задания со ссылкой на учебник производится исключительно в учебных целях для лучшего понимания разбора решения задания.

Ниже вариант решения задания из учебника Мерзляк, Номировский, Поляков 10 класс, Просвещение:
11.15. Найдите область определения выражения:
1) ((|x|-4)/(x^2-36))^(1/6); 2) (|x|-3)^(1/10)-1/(x+4)^(1/4).
