Упражнение 11.3 ГДЗ Мерзляк 10 класс Углубленный уровень (Алгебра)
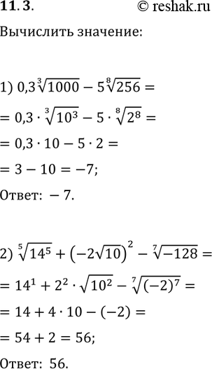
11.3. Вычислите: 1) 0,3(1000^(1/3))-5(256^(1/8)); 2) (14^5)^(1/5)+(-2в€љ10)^2-(-128)^(1/7). *Цитирирование задания со ссылкой на учебник производится исключительно в учебных целях для лучшего понимания разбора решения задания.

Ниже вариант решения задания из учебника Мерзляк, Номировский, Поляков 10 класс, Просвещение:
11.3. Вычислите:
1) 0,3(1000^(1/3))-5(256^(1/8));
2) (14^5)^(1/5)+(-2в€љ10)^2-(-128)^(1/7).
