Упражнение 11.8 ГДЗ Мерзляк 10 класс Углубленный уровень (Алгебра)
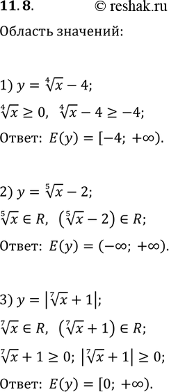
11.8. Найдите область значений функции: 1) y=x^(1/4)-4; 2) y=x^(1/5)-2; 3) y=|x^(1/7)+1|. *Цитирирование задания со ссылкой на учебник производится исключительно в учебных целях для лучшего понимания разбора решения задания.

Ниже вариант решения задания из учебника Мерзляк, Номировский, Поляков 10 класс, Просвещение:
11.8. Найдите область значений функции:
1) y=x^(1/4)-4; 2) y=x^(1/5)-2; 3) y=|x^(1/7)+1|.
