Упражнение 11.6 ГДЗ Мерзляк 10 класс Углубленный уровень (Алгебра)
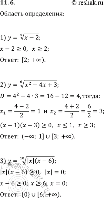
11.6. Найдите область определения функции: 1) y=(x-2)^(1/4); 2) y=(x^2-4x+3)^(1/6); 3) y=(|x|(x-6))^(1/10). *Цитирирование задания со ссылкой на учебник производится исключительно в учебных целях для лучшего понимания разбора решения задания.

Ниже вариант решения задания из учебника Мерзляк, Номировский, Поляков 10 класс, Просвещение:
11.6. Найдите область определения функции:
1) y=(x-2)^(1/4); 2) y=(x^2-4x+3)^(1/6); 3) y=(|x|(x-6))^(1/10).
