Упражнение 11.4 ГДЗ Мерзляк 10 класс Углубленный уровень (Алгебра)
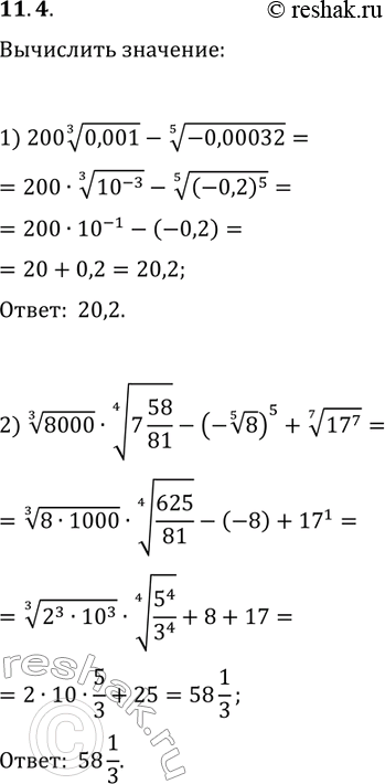
11.4. Вычислите: 1) 200(0,001^(1/3))-(-0,00032)^(1/5); 2) 8000^(1/3)В·(7 58/81)^(1/4)-(-8^(1/5))^5+(17^7)^(1/7). *Цитирирование задания со ссылкой на учебник производится исключительно в учебных целях для лучшего понимания разбора решения задания.

Ниже вариант решения задания из учебника Мерзляк, Номировский, Поляков 10 класс, Просвещение:
11.4. Вычислите:
1) 200(0,001^(1/3))-(-0,00032)^(1/5);
2) 8000^(1/3)В·(7 58/81)^(1/4)-(-8^(1/5))^5+(17^7)^(1/7).
