Упражнение 13.24 ГДЗ Мерзляк 10 класс Углубленный уровень (Алгебра)
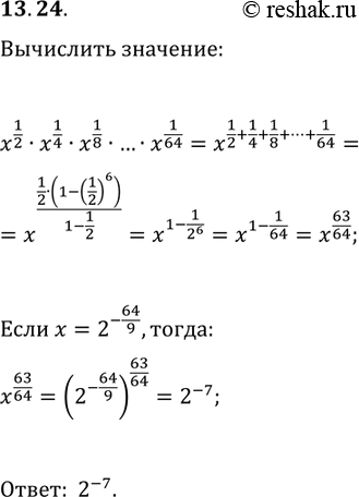
13.24. Вычислите произведение x^(1/2)В·x^(1/4)В·x^(1/8)В·...В·x^(1/64), если x=2^(-64/9). *Цитирирование задания со ссылкой на учебник производится исключительно в учебных целях для лучшего понимания разбора решения задания.

Ниже вариант решения задания из учебника Мерзляк, Номировский, Поляков 10 класс, Просвещение:
13.24. Вычислите произведение x^(1/2)·x^(1/4)·x^(1/8)·...·x^(1/64), если x=2^(-64/9).
