Упражнение 13.21 ГДЗ Мерзляк 10 класс Углубленный уровень (Алгебра)
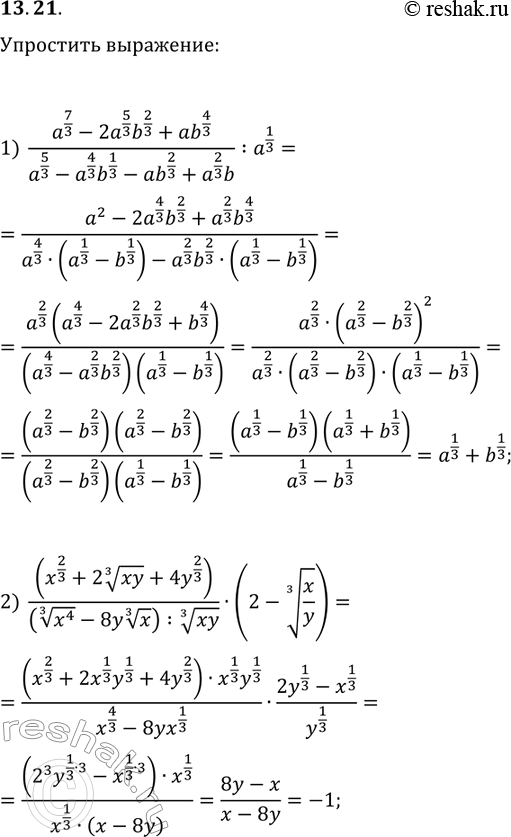
13.21. Упростите выражение: 1) (a^(7/3)-2a^(5/3)b^(2/3)+ab^(4/3))/(a^(5/3)-a^(4/3)b^(1/3)-ab^(2/3)+a^(2/3)b):a^(1/3); 2) (x^(2/3)+2(xy)^(1/3)+4y^(2/3))/(((x^4)^(1/3)-8y^(1/3)):(xy)^(1/3))·(2-(x/y)^(1/3)). *Цитирирование задания со ссылкой на учебник производится исключительно в учебных целях для лучшего понимания разбора решения задания.

Ниже вариант решения задания из учебника Мерзляк, Номировский, Поляков 10 класс, Просвещение:
13.21. Упростите выражение:
1) (a^(7/3)-2a^(5/3)b^(2/3)+ab^(4/3))/(a^(5/3)-a^(4/3)b^(1/3)-ab^(2/3)+a^(2/3)b):a^(1/3);
2) (x^(2/3)+2(xy)^(1/3)+4y^(2/3))/(((x^4)^(1/3)-8y^(1/3)):(xy)^(1/3))·(2-(x/y)^(1/3)).
