Упражнение 13.20 ГДЗ Мерзляк 10 класс Углубленный уровень (Алгебра)
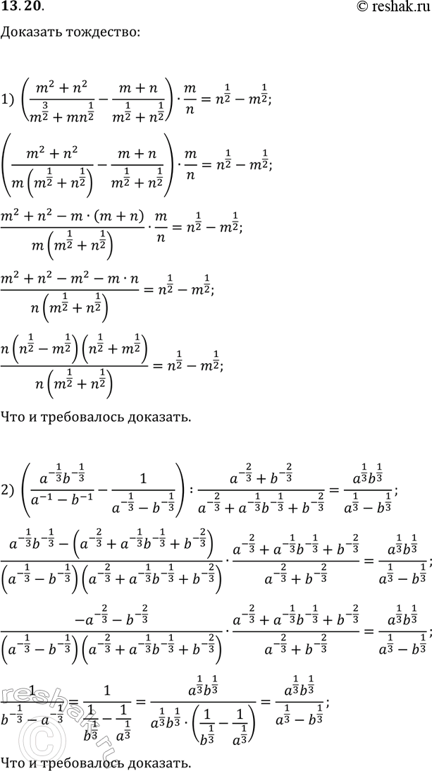
13.20. Докажите тождество: 1) ((m^2+n^2)/(m^(3/2)+mn^(1/2))-(m+n)/(m^(1/2)+n^(1/2)))·m/n=n^(1/2)-m^(1/2); 2) ((a^(-1/3)b^(-1/3)/(a^(-1)-b^(-1))-1/(a^(-1/3)-b^(-1/3))):(a^(-2/3)+b^(-2/3)/(a^(-2/3)+a^(-1/3)b^(-1/3)+b^(-2/3))=a^(1/3)b^(1/3)/(a^(1/3)-b^(1/3). *Цитирирование задания со ссылкой на учебник производится исключительно в учебных целях для лучшего понимания разбора решения задания.

Ниже вариант решения задания из учебника Мерзляк, Номировский, Поляков 10 класс, Просвещение:
13.20. Докажите тождество:
1) ((m^2+n^2)/(m^(3/2)+mn^(1/2))-(m+n)/(m^(1/2)+n^(1/2)))·m/n=n^(1/2)-m^(1/2);
2) ((a^(-1/3)b^(-1/3)/(a^(-1)-b^(-1))-1/(a^(-1/3)-b^(-1/3))):(a^(-2/3)+b^(-2/3)/(a^(-2/3)+a^(-1/3)b^(-1/3)+b^(-2/3))=a^(1/3)b^(1/3)/(a^(1/3)-b^(1/3).
