Упражнение 14.1 ГДЗ Мерзляк 10 класс Углубленный уровень (Алгебра)
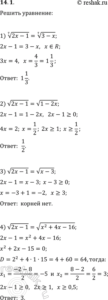
14.1. Решите уравнение: 1) (2x-1)^(1/7)=(3-x)^(1/7); 3) v(2x-1)=v(x-3); 2) v(2x-1)=v(1-2x); 4) v(2x-1)=v(x^2+4x-16). *Цитирирование задания со ссылкой на учебник производится исключительно в учебных целях для лучшего понимания разбора решения задания.

Ниже вариант решения задания из учебника Мерзляк, Номировский, Поляков 10 класс, Просвещение:
14.1. Решите уравнение:
1) (2x-1)^(1/7)=(3-x)^(1/7); 3) v(2x-1)=v(x-3);
2) v(2x-1)=v(1-2x); 4) v(2x-1)=v(x^2+4x-16).
