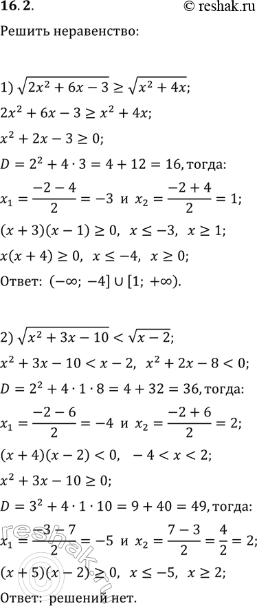
Упражнение 16.2 ГДЗ Мерзляк 10 класс Углубленный уровень (Алгебра)
16.2. Решите неравенство: 1) v(2x^2+6x-3)?v(x^2+4x); 2) v(x^2+3x-10) *Цитирирование задания со ссылкой на учебник производится исключительно в учебных целях для лучшего понимания разбора решения задания.

Ниже вариант решения задания из учебника Мерзляк, Номировский, Поляков 10 класс, Просвещение:
16.2. Решите неравенство:
1) v(2x^2+6x-3)?v(x^2+4x);
2) v(x^2+3x-10)
