Упражнение 16.3 ГДЗ Мерзляк 10 класс Углубленный уровень (Алгебра)
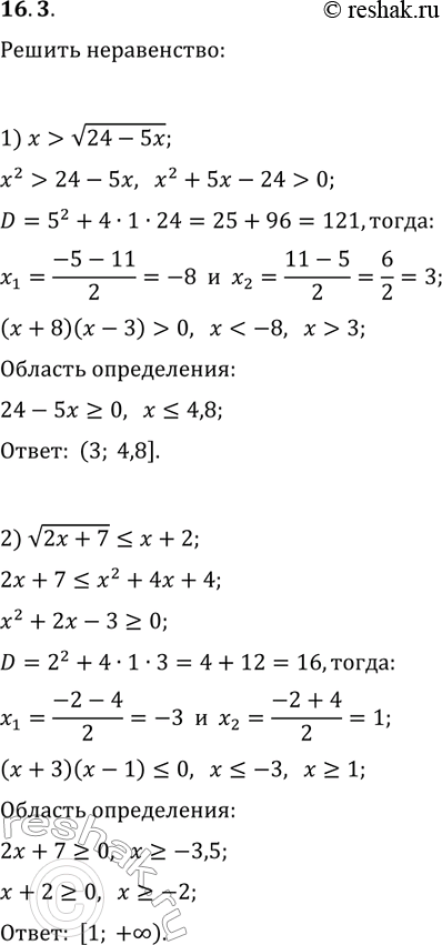
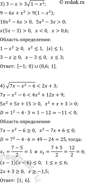
16.3. Решите неравенство: 1) x > v(24-5x); 3) 3-x > 3v(1-x^2); 2) v(2x+7)?x+2; 4) v(7x-x^2-6) *Цитирирование задания со ссылкой на учебник производится исключительно в учебных целях для лучшего понимания разбора решения задания.


Ниже вариант решения задания из учебника Мерзляк, Номировский, Поляков 10 класс, Просвещение:
16.3. Решите неравенство:
1) x > v(24-5x); 3) 3-x > 3v(1-x^2);
2) v(2x+7)?x+2; 4) v(7x-x^2-6)
