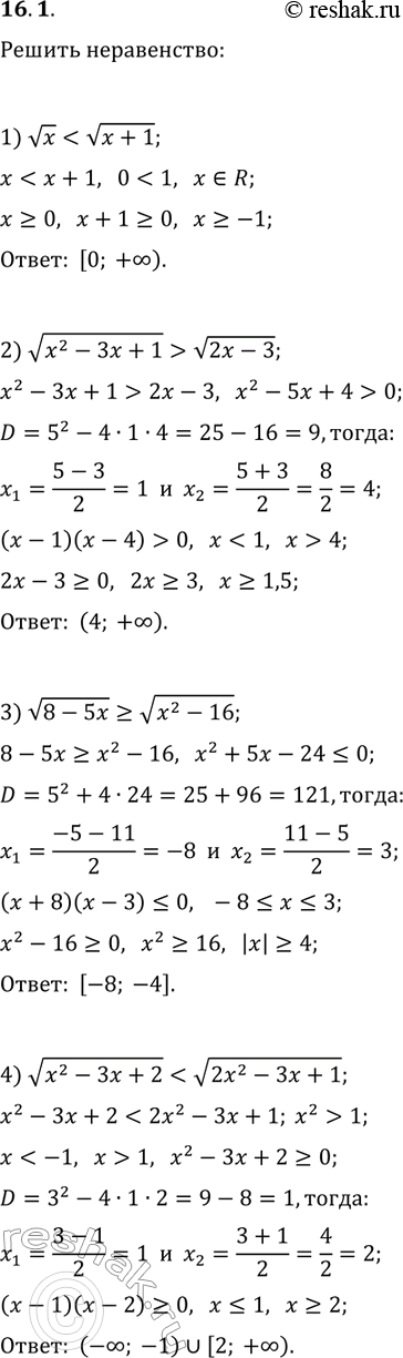
Упражнение 16.1 ГДЗ Мерзляк 10 класс Углубленный уровень (Алгебра)
16.1. Решите неравенство: 1) vx 2) v(x^2-3x+1) > v(2x-3); 4) v(x^2-3x+2) *Цитирирование задания со ссылкой на учебник производится исключительно в учебных целях для лучшего понимания разбора решения задания.
Ниже вариант решения задания из учебника Мерзляк, Номировский, Поляков 10 класс, Просвещение:
16.1. Решите неравенство:
1) vx
2) v(x^2-3x+1) > v(2x-3); 4) v(x^2-3x+2)

