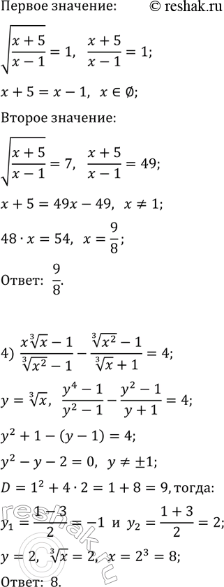
Упражнение 15.1 ГДЗ Мерзляк 10 класс Углубленный уровень (Алгебра)
15.1. Решите уравнение, используя метод замены переменной: 1) 2v(x+1)-5=3/v(x+1); 3) v((x+5)/(x-1))+7v((x-1)/(x+5))=8; 2) x^2-x+9+v(x^2-x+9)=12; 4) (x x^(1/3)-1)/(x^(2/3)-1)-(x^(2/3)-1)/(x^(1/3)+1)=4. *Цитирирование задания со ссылкой на учебник производится исключительно в учебных целях для лучшего понимания разбора решения задания.


Ниже вариант решения задания из учебника Мерзляк, Номировский, Поляков 10 класс, Просвещение:
15.1. Решите уравнение, используя метод замены переменной:
1) 2v(x+1)-5=3/v(x+1); 3) v((x+5)/(x-1))+7v((x-1)/(x+5))=8;
2) x^2-x+9+v(x^2-x+9)=12; 4) (x x^(1/3)-1)/(x^(2/3)-1)-(x^(2/3)-1)/(x^(1/3)+1)=4.
