Упражнение 16.6 ГДЗ Мерзляк 10 класс Углубленный уровень (Алгебра)
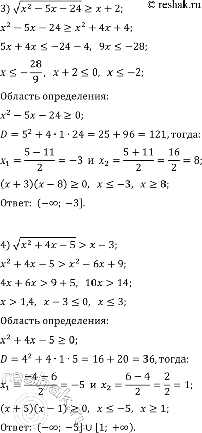
16.6. Решите неравенство: 1) v(x+2) > x; 3) v(x^2-5x-24)?x+2; 2) v(2x+14) > x+3; 4) v(x^2+4x-5) > x-3. *Цитирирование задания со ссылкой на учебник производится исключительно в учебных целях для лучшего понимания разбора решения задания.


Ниже вариант решения задания из учебника Мерзляк, Номировский, Поляков 10 класс, Просвещение:
16.6. Решите неравенство:
1) v(x+2) > x; 3) v(x^2-5x-24)?x+2;
2) v(2x+14) > x+3; 4) v(x^2+4x-5) > x-3.
