Упражнение 20.18 ГДЗ Мерзляк 10 класс Углубленный уровень (Алгебра)
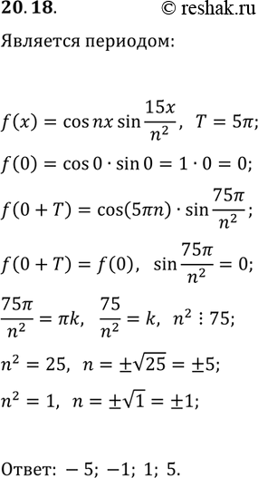
20.18. При каких целых значениях n число 5? является периодом функции f(x)=cos(nx)sin(15x/n^2)? *Цитирирование задания со ссылкой на учебник производится исключительно в учебных целях для лучшего понимания разбора решения задания.

Ниже вариант решения задания из учебника Мерзляк, Номировский, Поляков 10 класс, Просвещение:
20.18. При каких целых значениях n число 5? является периодом функции f(x)=cos(nx)sin(15x/n^2)?
