Упражнение 21.1 ГДЗ Мерзляк 10 класс Углубленный уровень (Алгебра)
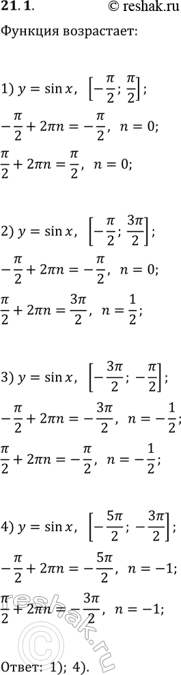
21.1 На каких из указанных промежутков функция y=sin(x) возрастает: 1) [-?/2; ?/2]; 2) [-?/2; 3?/2]; 3) [-3?/2; -?/2]; 4) [-5?/2; -3?/2]?
![Решение задачи: 21.1 На каких из указанных промежутков функция y=sin(x) возрастает: 1) [-?/2; ?/2]; 2) [-?/2; 3?/2]; 3) [-3?/2; -?/2]; 4) [-5?/2; -3?/2]?](solutions/algebra/10/635/1-21-1.png)
Ниже вариант решения задания из учебника Мерзляк, Номировский, Поляков 10 класс, Просвещение:
21.1 На каких из указанных промежутков функция y=sin(x) возрастает:
1) [-?/2; ?/2]; 2) [-?/2; 3?/2]; 3) [-3?/2; -?/2]; 4) [-5?/2; -3?/2]?
