Упражнение 21.4 ГДЗ Мерзляк 10 класс Углубленный уровень (Алгебра)
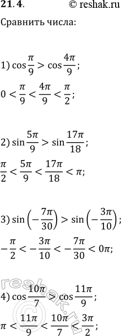
21.4. Сравните: 1) cos(?/9) и cos(4?/9); 3) sin(-7?/30) и sin(-3?/10); 2) sin(5?/9) и sin(17?/18); 4) cos(10?/7) и cos(11?/9). *Цитирирование задания со ссылкой на учебник производится исключительно в учебных целях для лучшего понимания разбора решения задания.

Ниже вариант решения задания из учебника Мерзляк, Номировский, Поляков 10 класс, Просвещение:
21.4. Сравните:
1) cos(?/9) и cos(4?/9); 3) sin(-7?/30) и sin(-3?/10);
2) sin(5?/9) и sin(17?/18); 4) cos(10?/7) и cos(11?/9).
