Упражнение 21.2 ГДЗ Мерзляк 10 класс Углубленный уровень (Алгебра)
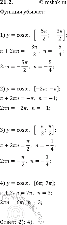
21.2. Какие из данных промежутков являются промежутками убывания функции y=cos(x): 1) [-5?/2; -3?/2]; 2) [-2?; -?]; 3) [-?/2; ?/2]; 4) [6?;
![Решение задачи: 21.2. Какие из данных промежутков являются промежутками убывания функции y=cos(x): 1) [-5?/2; -3?/2]; 2) [-2?; -?]; 3) [-?/2; ?/2]; 4) [6?;](solutions/algebra/10/635/1-21-2.png)
Ниже вариант решения задания из учебника Мерзляк, Номировский, Поляков 10 класс, Просвещение:
21.2. Какие из данных промежутков являются промежутками убывания функции y=cos(x):
1) [-5?/2; -3?/2]; 2) [-2?; -?]; 3) [-?/2; ?/2]; 4) [6?; 7?]?
