Упражнение 23.14 ГДЗ Мерзляк 10 класс Углубленный уровень (Алгебра)
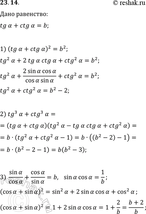
23.14. Дано: tg(?)+ctg(?)=b. Найдите: 1) tg^2(?)+ctg^2(?); 2) tg^3(?)+ctg^3(?); 3) (cos(?)+sin(?))^2. *Цитирирование задания со ссылкой на учебник производится исключительно в учебных целях для лучшего понимания разбора решения задания.

Ниже вариант решения задания из учебника Мерзляк, Номировский, Поляков 10 класс, Просвещение:
23.14. Дано: tg(?)+ctg(?)=b. Найдите:
1) tg^2(?)+ctg^2(?); 2) tg^3(?)+ctg^3(?);
3) (cos(?)+sin(?))^2.
