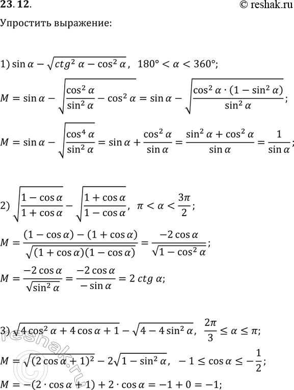
Упражнение 23.12 ГДЗ Мерзляк 10 класс Углубленный уровень (Алгебра)
23.12. Упростите выражение: 1) sin(?)-v(ctg^2(?)-cos^2(?)), если 180° 2) v((1-cos(?))/(1+cos(?)))-v((1+cos(?))/(1-cos(?))), если ? 3) v(4cos^2(?)+4cos(?)+1)-v(4-4sin^2(?)), если 2?/3????. *Цитирирование задания со ссылкой на учебник производится исключительно в учебных целях для лучшего понимания разбора решения задания.
Ниже вариант решения задания из учебника Мерзляк, Номировский, Поляков 10 класс, Просвещение:
23.12. Упростите выражение:
1) sin(?)-v(ctg^2(?)-cos^2(?)), если 180°
2) v((1-cos(?))/(1+cos(?)))-v((1+cos(?))/(1-cos(?))), если ?
3) v(4cos^2(?)+4cos(?)+1)-v(4-4sin^2(?)), если 2?/3????.

