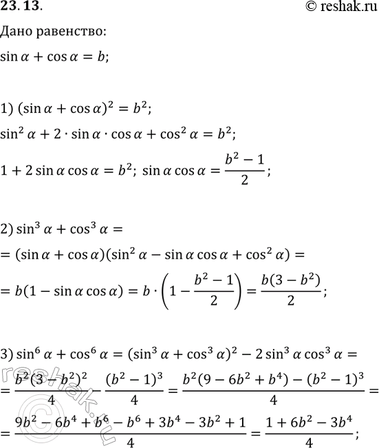
Упражнение 23.13 ГДЗ Мерзляк 10 класс Углубленный уровень (Алгебра)
23.13. Дано: sin(?)+cos(?)=b. Найдите: 1) sin(?)cos(?); 2) sin^3(?)+cos^3(?); 3) sin^6(?)+cos^6(?). *Цитирирование задания со ссылкой на учебник производится исключительно в учебных целях для лучшего понимания разбора решения задания.

Ниже вариант решения задания из учебника Мерзляк, Номировский, Поляков 10 класс, Просвещение:
23.13. Дано: sin(?)+cos(?)=b. Найдите:
1) sin(?)cos(?); 2) sin^3(?)+cos^3(?);
3) sin^6(?)+cos^6(?).
